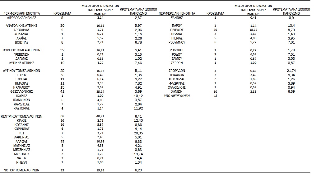
Τα νέα εργαστηριακά επιβεβαιωμένα κρούσματα της νόσου που καταγράφηκαν τις τελευταίες 24 ώρες είναι 520, εκ των οποίων 1 εντοπίστηκε κατόπιν ελέγχων στις πύλες εισόδου της χώρας
Αναλυτικά, η διασπορά των νέων κρουσμάτων ανά περιφερειακή ενότητα:

Τα νέα εργαστηριακά επιβεβαιωμένα κρούσματα της νόσου που καταγράφηκαν τις τελευταίες 24 ώρες είναι 520, εκ των οποίων 1 εντοπίστηκε κατόπιν ελέγχων στις πύλες εισόδου της χώρας
Αναλυτικά, η διασπορά των νέων κρουσμάτων ανά περιφερειακή ενότητα:

No related posts.