• ΑΡΧΙΚΗ
  • Γ΄ ΕΘΝΙΚΗ
  • ΤΟΠΙΚΟ
  • ΧΑΝΤΜΠΟΛ
  • ΜΠΑΣΚΕΤ
  • ΣΠΟΡ
  • ΣΤΟΙΧΗΜΑ
Σάββατο, 23 / 05 / 2026
CorfuSports.com
  • ΑΡΧΙΚΗ
  • Γ΄ ΕΘΝΙΚΗ

    Γ΄ Εθνική ποδοσφαίρου | Κέρκυρα FC, ΟΦΑΜ, Λευκίμμη, αποτελέσματα

    Έρχονται εκλογές στην ΑΕΛ!

    Έρχονται εκλογές στην ΑΕΛ!

    Photostory: Η απονομή στον πρωταθλητή Κέρκυρας, ΟΦΑΜ!

    ΟΦΑΜ: Στις 7 Ιουνίου εκλογές!

    ΑΕΛ ευχαριστεί Τηλυκράτη για τη φιλοξενία…

    ΑΕΛ: «Πεντάσφαιρο» φινάλε!

    Γ εθνική: Τριάντα ομάδα ζητούν αύξηση ομάδων και ομίλων

    Γ’ Εθνική: Οι 8 ομάδες που θα διεκδικήσουν τα 4 εισιτήρια για τη S.L 2

    ΑΕΛ ευχαριστεί Τηλυκράτη για τη φιλοξενία…

    ΑΕΛ: Ανατροπή και… καρέ!

    Τέλος ο Ξανθόπουλος από τον πάγκο της ΑΕΛ!

    Επιστροφή στις νίκες και 2η θέση για την ΑΕΛ!

  • ΤΟΠΙΚΟ

    Τοπικές κατηγορίες ποδοσφαίρου ΕΠΣ Κέρκυρας

    Θιναλιακός: Το γήπεδο-στολίδι μας παίρνει μορφή!

    Θιναλιακός: Το γήπεδο-στολίδι μας παίρνει μορφή!

    Ο Χονδρογιάννης αποχώρησε από την Ολυμπιάδα!

    Ο Χονδρογιάννης αποχώρησε από την Ολυμπιάδα!

    “Να μην εφαρμοστεί ο αποκλεισμός των αθλητικών σωματείων”

    Θύελλα/Όλυμπος για ΕΠΣΚ: Με πνεύμα “αδιαφορήστε για τα μαθηματά σας”

    Ένας άσος και μια μοιρασιά στη Β ΕΠΣΚ

    Οι αγώνες υποδομών της Κυριακής

    Τρεπεκλής για άνοδο Ζακύνθου: Μας κάνατε υπερήφανους!

    Τρεπεκλής για άνοδο Ζακύνθου: Μας κάνατε υπερήφανους!

    Ένας άσος και μια μοιρασιά στη Β ΕΠΣΚ

    Την Κυριακή, ο τελικός στο πρωτάθλημα Κ15!

  • ΧΑΝΤΜΠΟΛ

    Όλα για το χάντμπολ | Α΄ Εθνική, Φαίακας, αποτελέσματα, ειδήσεις

    Χάντμπολ: Με επιτυχία (και) φέτος τα Καποδίστρεια (pics)

    Χάντμπολ: Με επιτυχία (και) φέτος τα Καποδίστρεια (pics)

    Χάντμπολ: Έρχονται τα Καποδίστρεια

    Χάντμπολ: Έρχονται τα Καποδίστρεια

    Handball the ball

    Αδιάφορη ήττα για το Φαίακα στο Αμύνταιο!

    Photostory: Φαίακας-Κερκυραϊκός 24-27

    Νίκη για τον Κερκυραϊκό στο ντέρμπι με το Φαίακα!

    Photostory: Φαίακας-Βόλος 38-25

    Φαίακας: Έκανε… πάρτι στην επανάληψη!

    Φαίακας: Άλωσε την Πυλαία, εξασφάλισε την παραμονή!

    Φαίακας: Άλωσε την Πυλαία, εξασφάλισε την παραμονή!

  • ΜΠΑΣΚΕΤ

    Ολα για το μπάσκετ | Γ΄ Εθνική, ΕΣΚΑΒΔΕ, αποτελέσματα

    Έχασε ξανά ο Λέων, δεν έπαιξε ο Φαίακας!

    F4 – A2 EΣΚΑΒΔΕ: Εκτός τελικού οι κερκυραϊκές ομάδες!

    Οι Κορασίδες της Σχερίας δεν τα κατάφεραν…

    Οι Κορασίδες της Σχερίας δεν τα κατάφεραν…

    Η Αναστασία Κατέχη, πρόεδρος της Σχερίας

    Στο F4 Koρασίδων η Σχερία!

    Η ΓΕΚ ευχαριστεί…

    Η ΓΕΚ ευχαριστεί και… ραντεβού τη νέα σεζόν!

    Κερκυραϊκός: Κατάθεση ψυχής, αλλά οι αντίπαλοι δεν ήταν μόνο… πέντε!

    Κερκυραϊκός: Κατάθεση ψυχής, αλλά οι αντίπαλοι δεν ήταν μόνο… πέντε!

    Περίπατος του Ιονίου στο κερκυραϊκό ντέρμπι!

    Η ΕΣΚΑΒΔΕ για τον επεισοδιακό τελικό των Παίδων

  • ΣΠΟΡ

    Ειδήσεις για όλα τα σπόρ | Στίβος, βόλεϊ, υγρός στίβος, υποδομές, σχολικά πρωταθλήματα

    Νέο διπλό για το ΝΑΟΚ!

    ΝΑΟΚ: Όνειρο ήταν και… πάει!

    Ο ΝΑΟ Παξών ευχαριστεί την Kerkyra Lines

    Ο ΝΑΟ Παξών ευχαριστεί την Kerkyra Lines

    ΝΑΟΚ: Διοργανώνει αγώνα άπνοιας…

    ΝΑΟΚ: Διοργανώνει αγώνα άπνοιας…

    Νέο διπλό για το ΝΑΟΚ!

    ΝΑΟΚ: Μόνο υπερηφάνεια…

    “Να μην εφαρμοστεί ο αποκλεισμός των αθλητικών σωματείων”

    Θύελλα/Όλυμπος για ΕΠΣΚ: Με πνεύμα “αδιαφορήστε για τα μαθηματά σας”

    Ένας άσος και μια μοιρασιά στη Β ΕΠΣΚ

    Οι αγώνες υποδομών της Κυριακής

  • ΣΤΟΙΧΗΜΑ
No Result
View All Result
  • ΑΡΧΙΚΗ
  • Γ΄ ΕΘΝΙΚΗ

    Γ΄ Εθνική ποδοσφαίρου | Κέρκυρα FC, ΟΦΑΜ, Λευκίμμη, αποτελέσματα

    Έρχονται εκλογές στην ΑΕΛ!

    Έρχονται εκλογές στην ΑΕΛ!

    Photostory: Η απονομή στον πρωταθλητή Κέρκυρας, ΟΦΑΜ!

    ΟΦΑΜ: Στις 7 Ιουνίου εκλογές!

    ΑΕΛ ευχαριστεί Τηλυκράτη για τη φιλοξενία…

    ΑΕΛ: «Πεντάσφαιρο» φινάλε!

    Γ εθνική: Τριάντα ομάδα ζητούν αύξηση ομάδων και ομίλων

    Γ’ Εθνική: Οι 8 ομάδες που θα διεκδικήσουν τα 4 εισιτήρια για τη S.L 2

    ΑΕΛ ευχαριστεί Τηλυκράτη για τη φιλοξενία…

    ΑΕΛ: Ανατροπή και… καρέ!

    Τέλος ο Ξανθόπουλος από τον πάγκο της ΑΕΛ!

    Επιστροφή στις νίκες και 2η θέση για την ΑΕΛ!

  • ΤΟΠΙΚΟ

    Τοπικές κατηγορίες ποδοσφαίρου ΕΠΣ Κέρκυρας

    Θιναλιακός: Το γήπεδο-στολίδι μας παίρνει μορφή!

    Θιναλιακός: Το γήπεδο-στολίδι μας παίρνει μορφή!

    Ο Χονδρογιάννης αποχώρησε από την Ολυμπιάδα!

    Ο Χονδρογιάννης αποχώρησε από την Ολυμπιάδα!

    “Να μην εφαρμοστεί ο αποκλεισμός των αθλητικών σωματείων”

    Θύελλα/Όλυμπος για ΕΠΣΚ: Με πνεύμα “αδιαφορήστε για τα μαθηματά σας”

    Ένας άσος και μια μοιρασιά στη Β ΕΠΣΚ

    Οι αγώνες υποδομών της Κυριακής

    Τρεπεκλής για άνοδο Ζακύνθου: Μας κάνατε υπερήφανους!

    Τρεπεκλής για άνοδο Ζακύνθου: Μας κάνατε υπερήφανους!

    Ένας άσος και μια μοιρασιά στη Β ΕΠΣΚ

    Την Κυριακή, ο τελικός στο πρωτάθλημα Κ15!

  • ΧΑΝΤΜΠΟΛ

    Όλα για το χάντμπολ | Α΄ Εθνική, Φαίακας, αποτελέσματα, ειδήσεις

    Χάντμπολ: Με επιτυχία (και) φέτος τα Καποδίστρεια (pics)

    Χάντμπολ: Με επιτυχία (και) φέτος τα Καποδίστρεια (pics)

    Χάντμπολ: Έρχονται τα Καποδίστρεια

    Χάντμπολ: Έρχονται τα Καποδίστρεια

    Handball the ball

    Αδιάφορη ήττα για το Φαίακα στο Αμύνταιο!

    Photostory: Φαίακας-Κερκυραϊκός 24-27

    Νίκη για τον Κερκυραϊκό στο ντέρμπι με το Φαίακα!

    Photostory: Φαίακας-Βόλος 38-25

    Φαίακας: Έκανε… πάρτι στην επανάληψη!

    Φαίακας: Άλωσε την Πυλαία, εξασφάλισε την παραμονή!

    Φαίακας: Άλωσε την Πυλαία, εξασφάλισε την παραμονή!

  • ΜΠΑΣΚΕΤ

    Ολα για το μπάσκετ | Γ΄ Εθνική, ΕΣΚΑΒΔΕ, αποτελέσματα

    Έχασε ξανά ο Λέων, δεν έπαιξε ο Φαίακας!

    F4 – A2 EΣΚΑΒΔΕ: Εκτός τελικού οι κερκυραϊκές ομάδες!

    Οι Κορασίδες της Σχερίας δεν τα κατάφεραν…

    Οι Κορασίδες της Σχερίας δεν τα κατάφεραν…

    Η Αναστασία Κατέχη, πρόεδρος της Σχερίας

    Στο F4 Koρασίδων η Σχερία!

    Η ΓΕΚ ευχαριστεί…

    Η ΓΕΚ ευχαριστεί και… ραντεβού τη νέα σεζόν!

    Κερκυραϊκός: Κατάθεση ψυχής, αλλά οι αντίπαλοι δεν ήταν μόνο… πέντε!

    Κερκυραϊκός: Κατάθεση ψυχής, αλλά οι αντίπαλοι δεν ήταν μόνο… πέντε!

    Περίπατος του Ιονίου στο κερκυραϊκό ντέρμπι!

    Η ΕΣΚΑΒΔΕ για τον επεισοδιακό τελικό των Παίδων

  • ΣΠΟΡ

    Ειδήσεις για όλα τα σπόρ | Στίβος, βόλεϊ, υγρός στίβος, υποδομές, σχολικά πρωταθλήματα

    Νέο διπλό για το ΝΑΟΚ!

    ΝΑΟΚ: Όνειρο ήταν και… πάει!

    Ο ΝΑΟ Παξών ευχαριστεί την Kerkyra Lines

    Ο ΝΑΟ Παξών ευχαριστεί την Kerkyra Lines

    ΝΑΟΚ: Διοργανώνει αγώνα άπνοιας…

    ΝΑΟΚ: Διοργανώνει αγώνα άπνοιας…

    Νέο διπλό για το ΝΑΟΚ!

    ΝΑΟΚ: Μόνο υπερηφάνεια…

    “Να μην εφαρμοστεί ο αποκλεισμός των αθλητικών σωματείων”

    Θύελλα/Όλυμπος για ΕΠΣΚ: Με πνεύμα “αδιαφορήστε για τα μαθηματά σας”

    Ένας άσος και μια μοιρασιά στη Β ΕΠΣΚ

    Οι αγώνες υποδομών της Κυριακής

  • ΣΤΟΙΧΗΜΑ
No Result
View All Result
CorfuSports.com
Home ΕΙΔΗΣΕΙΣ ΔΙΑΦΟΡΑ

Μεγάλη αύξηση (249) κρουσμάτων στην Κέρκυρα

Τρίτη, 25 / 01 / 2022
Χωρίς νέο κρούσμα η Κέρκυρα

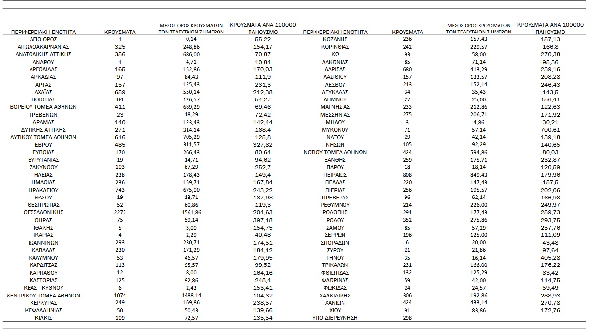
Τα νέα εργαστηριακά επιβεβαιωμένα κρούσματα της νόσου που καταγράφηκαν τις τελευταίες 24 ώρες είναι 17.409, εκ των οποίων 55 εντοπίστηκαν κατόπιν ελέγχων στις πύλες εισόδου της χώρας.

Αναλυτικά, η διασπορά των νέων κρουσμάτων ανά περιφερειακή ενότητα:

No related posts.

Αφήστε μια απάντηση Ακύρωση απάντησης

Η ηλ. διεύθυνση σας δεν δημοσιεύεται. Τα υποχρεωτικά πεδία σημειώνονται με *

  • CP-Web
  • Ειδήσεις
  • Συνεντεύξεις
  • Όροι χρήσης
  • Πολιτική απορρήτου και cookies
  • Επικοινωνία
  • CorfuPress.com
ΚΑΤΑΣΚΕΥΗ ΣΕΛΙΔΑΣ: CP-WEB/CORFUPRESS.COM
© 2024 CP-Web / CorfuPress.com - Κατασκευή και διαχείριση ιστοσελίδων, ηλεκτρονική και έντυπη ενημέρωση, οπτικοακουστικές και διαφημιστικές υπηρεσίες

WEBSITE: www.corfusports.com
C.P.WEB-CORFUPRESS.COM - ΕΜΜΑΝΟΥΗΛ ΜΕΘΥΜΑΚΗΣ // ΑΤΟΜΙΚΗ ΕΠΙΧΕΙΡΗΣΗ
MANTZAΡΟΥ 6 - T.K. 49132, ΚΕΡΚΥΡΑ
ΑΦΜ: 107115640 - ΔΟΥ ΚΕΡΚΥΡΑΣ
ΤΗΛΕΦΩΝΟ ΕΠΙΚΟΙΝΩΝΙΑΣ: 2661026992
EMAIL: info@corfupress.com
ΙΔΙΟΚΤΗΤΗΣ: EMMANOYΗΛ ΜΕΘΥΜΑΚΗΣ
ΝΟΜΙΜΟΣ ΕΚΠΡΟΣΩΠΟΣ: EMMANOYΗΛ ΜΕΘΥΜΑΚΗΣ
ΔΙΕΥΘΥΝΤΗΣ: EMMANOYΗΛ ΜΕΘΥΜΑΚΗΣ
ΔΙΕΥΘΥΝΤΡΙΑ ΣΥΝΤΑΞΗΣ: ΝΙΚΟΛΑΪΣ ΒΛΑΧΟΥ
ΔΙΑΧΕΙΡΙΣΤΗΣ: EMMANOYΗΛ ΜΕΘΥΜΑΚΗΣ
ΔΙΚΑΙΟΥΧΟΣ DOMAIN: ΕΜΜΑΝΟΥΗΛ ΜΕΘΥΜΑΚΗΣ

No Result
View All Result
  • ΑΡΧΙΚΗ
  • Γ΄ ΕΘΝΙΚΗ
  • ΤΟΠΙΚΟ
  • ΧΑΝΤΜΠΟΛ
  • ΜΠΑΣΚΕΤ
  • ΣΠΟΡ
  • ΣΤΟΙΧΗΜΑ

WEBSITE: www.corfusports.com
C.P.WEB-CORFUPRESS.COM - ΕΜΜΑΝΟΥΗΛ ΜΕΘΥΜΑΚΗΣ // ΑΤΟΜΙΚΗ ΕΠΙΧΕΙΡΗΣΗ
MANTZAΡΟΥ 6 - T.K. 49132, ΚΕΡΚΥΡΑ
ΑΦΜ: 107115640 - ΔΟΥ ΚΕΡΚΥΡΑΣ
ΤΗΛΕΦΩΝΟ ΕΠΙΚΟΙΝΩΝΙΑΣ: 2661026992
EMAIL: info@corfupress.com
ΙΔΙΟΚΤΗΤΗΣ: EMMANOYΗΛ ΜΕΘΥΜΑΚΗΣ
ΝΟΜΙΜΟΣ ΕΚΠΡΟΣΩΠΟΣ: EMMANOYΗΛ ΜΕΘΥΜΑΚΗΣ
ΔΙΕΥΘΥΝΤΗΣ: EMMANOYΗΛ ΜΕΘΥΜΑΚΗΣ
ΔΙΕΥΘΥΝΤΡΙΑ ΣΥΝΤΑΞΗΣ: ΝΙΚΟΛΑΪΣ ΒΛΑΧΟΥ
ΔΙΑΧΕΙΡΙΣΤΗΣ: EMMANOYΗΛ ΜΕΘΥΜΑΚΗΣ
ΔΙΚΑΙΟΥΧΟΣ DOMAIN: ΕΜΜΑΝΟΥΗΛ ΜΕΘΥΜΑΚΗΣ

Login to your account below

Forgotten Password?

Fill the forms bellow to register

All fields are required. Log In

Retrieve your password

Please enter your username or email address to reset your password.

Log In
Η ιστοσελίδα χρησιμοποιεί cookies. Με τη συνέχιση της χρήσης της, αποδέχεστε τη χρήση των απολύτως απαραίτητων cookies και τους όρους χρήσης για την πλοήγηση στον ιστότοπο του CorfuSports.gr